Электронно-механический "Луч" - Страница 116 - Часовой форум Watch.ru
 
Вернуться назад   Часовой форум Watch.ru > Российские часы > Другие российские часы
Регистрация | Забыли пароль?

Другие российские часы

Текущий рейтинг темы — 
Ответ
 
Опции темы
  #1151  
Старый 27.10.2019, 09:40
diplomatto diplomatto вне форума  
Новичок
 
Регистрация: 13.04.2019
Адрес: Запорожье
Сообщений: 40
Сказал(а) спасибо: 131
Поблагодарили 58 раз(а) в 17 сообщениях
Вот фото. Кварц датирован 08.80
Миниатюры
Нажмите на изображение для увеличения
Название: DSC_1504.jpg
Просмотров: 182
Размер:	189.7 Кб
ID:	2749080  
Ответить с цитированием
Этот пользователь сказал Спасибо! diplomatto за это сообщение:
michaelgv (27.10.2019)
  #1152  
Старый 27.10.2019, 10:38
michaelgv michaelgv вне форума  
Форумчанин
 
Регистрация: 27.10.2014
Адрес: Гомель
Сообщений: 126
Сказал(а) спасибо: 68
Поблагодарили 335 раз(а) в 71 сообщениях
Прокладки очень интересные, конечно.

А катушка тоже "голая". Вот хоть убейте, не могу этого понять. Ну хоть каплю лака на поверхность, хоть бы что-то спасло при непосредственном контакте... Я теперь научен, и лакирую. На всякий.

Я так понимаю, разработчики пытались "ужаться" в люфты, но блин, там же по десятке с обеих сторон минимум запаса. Понятно если цапфы сточило на корню, но у меня в коллекции на ремонт лежат Лучи, которые как будто специально в песок кинули, там все в грязи, корпус стерт до латуни, но баланс не болтается, я специально бушоны с камнями снимал, чистил. После сборки моста баланса там места для катушки предостаточно даже с небольшим люфтом... Хотя, выставлять катушку в люфтящем балансе та еще работка...

Кстати, родной лак на краях катушки плавится контактным клеем на основе серебра, так что нужно быть осторожным.

В пятницу восстановил катушку с двумя оборванными обмотками, на которую и не надеялся... Клей с серебром для наружной катушки, там паять было невозможно(слишком глубоко и не влазил в допуски во высоте), и пайка для внутренней. Получил значения 1.2 и 7кОм. Идут. Отлично идут. Ничуть не хуже первых. Я их под себя делал, корпус от последних серий, циферблат от стальных, стрелки от родного меха, секундную покрасил акрилом "белый металлик".
Ношу второй день, чисто, красиво работают.
У меня есть критерий проверки - моя машина. Старенькая, подушки подустали, слегка колошматит, когда левая рука на руле. Если после поездок по городу часы не отстают, ремонт удался) Так вот, вчера неплохо подежурил по городу, часы не отстали. Так что не все катушки стоит выбрасывать.
А так внешне мне моя котлетка очень нравятся. Циферблат под цвет глаз)

Нажмите на изображение для увеличения
Название: изображение_viber_2019-10-27_09-56-19.jpg
Просмотров: 167
Размер:	267.3 Кб
ID:	2749094

------- ДОБАВЛЕНО ЧЕРЕЗ 16 МИН --------

Цитата:
Сообщение от diplomatto Посмотреть сообщение
В этом сообщении "От советского информ-бюро" о ненадежности луча 3055 скорее сквозит желание прикрыть неспособность обучить персонал, укомплектовать оборудованием, обеспечить запчастями и, как следствие, неспособность ремонтировать такие часы.
Вы знаете, обучить... Я не могу человека обучить своему ремеслу, не дано. Если он не может элементарную схемку прочитать на выходе из техникума, о чем тут учить...
Я электронщик, разработчик, но абсолютно не часовщик. Уже сейчас, обзаведясь инструментом, я понял что это настоящая ПРОФЕССИЯ. Начал по другому совсем относиться к часовым мастерам, на самом деле это почти подвиг, посвятить себя этому. Я паял вещи в десятки раз меньше чем СМД, восстанавливал тончайшие шлейфы, припаивал под микроскопом кристаллы микросхем, но связавшись с часами понял, что я мягко говоря ...шара...

Хорошо что этих лучей осталось еще очень много. Почти все, что я понакупал на барахолках, с оборванными катушками. Есть над чем проводить эксперименты и учиться. Могу сразу сказать, что поздние модицикации с пружинкой вместо камня - дикий шлак.
Часы недоделаны в плане электроники. Транзисторы были откровенно слабые на обратное напряжение, и вот что мешало параллельно катушкам добавить два диодика? Это бы их спасло, и живые платы были бы до сих пор. А так, малейший сбой в работе баланса наводил ЭДС, которая от p-n переходов не оставляла и следа. Видимо места не хватило. Понятно, что bc547 намного мощнее на обратку, и в диодах надобности нет, но...
Крепление катушки дикость. Что мешало поставить регулировочные пружинки, или добавить четвертую ось и гибкую связь с платой, залакировать катущку? Выставляю катушку в балансе, навожу боковой свет на прорезь, все идеально. Накидываю плату, зажимаю, снова боковой свет, а катушка-то "на попа"...
Ну понятно, текстолит слоистый, стареет, его выгибает даже от температуры, но блин, обидно как-то... В часах в этом сообщении я нафик выпилил на плате четыре ушка катушки, чтобы плата вообще в этом месте не давила, передвинул детали, что смог - заменил на современную "рассыпуху", и положил медные проводки. Все. Катушка идеальна в зазоре. Часы идут отлично.
Понятно что это совершенно не заводской метод, на поток не поставить, но хотя бы в приближении можно было что-то подобное сделать?
Про баланс они тоже правы. У меня есть один, там клея как нас...ли с одной стороны, с другой - пусто, магнит болтало, катушке хана.
Так что часы недоработаны, что есть, то есть. А с созданием шаговика надобность в этих часах совсем отпала, пипл, не понимающий в чем их суть, покупал шаговые кварцевые, и надобность в этих часах исчезла. Я у себя на работе пытаюсь людям суть этих часов описать, на меня, как на дурака смотрят... У тебя же, говорят, в коллекции такие шикарнейшие протреки есть, юбилейные г-шоки, а ты этот советский шлак таскаешь...
Этими часами болеть нужно)

------- ДОБАВЛЕНО ЧЕРЕЗ 18 МИН --------

Цитата:
Сообщение от WhiteLion Посмотреть сообщение
siealex,
я отвечал diplomatto (про 3045) и Вам (про 3055). У катушки 3054 совсем другие значения сопротивлений. Хотя выполнена она в таком же карболитовом корпусе, как и катушка 3055 первой ревизии.

Вложение 2748789 Вложение 2748790
Так и должно было быть. Схема на 3054 построена на обратной связи. В 3055 обратной связи нет.
Ответить с цитированием
Эти 5 пользователей сказали Спасибо! michaelgv за это сообщение:
atmir33 (27.10.2019), barbrige (27.10.2019), diplomatto (27.10.2019), ingeneegr (27.10.2019), ruskij (14.01.2022)
  #1153  
Старый 27.10.2019, 12:17
Аватар для siealex
siealex siealex вне форума  
Форумчанин
 
Регистрация: 09.02.2010
Адрес: Украина, Харьков
Сообщений: 19,527
Сказал(а) спасибо: 2,581
Поблагодарили 8,051 раз(а) в 5,829 сообщениях
Цитата:
Транзисторы были откровенно слабые на обратное напряжение, и вот что мешало параллельно катушкам добавить два диодика? Это бы их спасло, и живые платы были бы до сих пор. А так, малейший сбой в работе баланса наводил ЭДС, которая от p-n переходов не оставляла и следа.
Никогда не встречал. А вот отрыв выводов транзисторов от платы из-за дерьмовой заливки - повально.
__________________
CASIO! W38 57 59 84 86 87 92 93 96(2) 211 212 217 725 727(2) 728 729 733 735 740 751 752 753 755 756 800 W-E10 11 WL-S21 WS-100 210 220 WV-58 59 WVA104 106 B612 816 F84 85 91(13) 105 200 201A F-V1 A151 158 159(2) 162 163 168(3) 178 200(2) 210 220 680 AQ140 160(2) 180 450 AB30 ABX68 AW22 24 44 60 80(3) 81 82 AQ-E10 AW-E10 AW-S90 AE220 1000 1100 1500 3000 AL180 DB34 35 36 DBC32 610 DB-E30 CA53 503 EF317 321 500(2) EFA107 115 118 120 131 WEF116 EFD102 MDV501 BEM501 MSY500 OC502 M22 MDA-S11 MTD1014 MTF108 LA670(2) LW22 FT200 600 SGT100 HDD600 CPW500(2) CPA100 SPS300 STR500 TRI20 DW260 295 650 5600 6600 6900 G1700 2900 3110 3200 7700 GA100(2) 110 400 SPF70 CHR100 RFT100 STB1000 TIC10 BG3002 SFX10 JP200
Ответить с цитированием
  #1154  
Старый 27.10.2019, 12:25
michaelgv michaelgv вне форума  
Форумчанин
 
Регистрация: 27.10.2014
Адрес: Гомель
Сообщений: 126
Сказал(а) спасибо: 68
Поблагодарили 335 раз(а) в 71 сообщениях
Цитата:
Сообщение от siealex Посмотреть сообщение
Никогда не встречал. А вот отрыв выводов транзисторов от платы из-за дерьмовой заливки - повально.
А как отличить одно от другого, если не использовать растворитель, способный удалить белую краску?
Ответить с цитированием
Этот пользователь сказал Спасибо! michaelgv за это сообщение:
ruskij (14.01.2022)
  #1155  
Старый 27.10.2019, 12:27
Аватар для siealex
siealex siealex вне форума  
Форумчанин
 
Регистрация: 09.02.2010
Адрес: Украина, Харьков
Сообщений: 19,527
Сказал(а) спасибо: 2,581
Поблагодарили 8,051 раз(а) в 5,829 сообщениях
По трещинам в краске.
__________________
CASIO! W38 57 59 84 86 87 92 93 96(2) 211 212 217 725 727(2) 728 729 733 735 740 751 752 753 755 756 800 W-E10 11 WL-S21 WS-100 210 220 WV-58 59 WVA104 106 B612 816 F84 85 91(13) 105 200 201A F-V1 A151 158 159(2) 162 163 168(3) 178 200(2) 210 220 680 AQ140 160(2) 180 450 AB30 ABX68 AW22 24 44 60 80(3) 81 82 AQ-E10 AW-E10 AW-S90 AE220 1000 1100 1500 3000 AL180 DB34 35 36 DBC32 610 DB-E30 CA53 503 EF317 321 500(2) EFA107 115 118 120 131 WEF116 EFD102 MDV501 BEM501 MSY500 OC502 M22 MDA-S11 MTD1014 MTF108 LA670(2) LW22 FT200 600 SGT100 HDD600 CPW500(2) CPA100 SPS300 STR500 TRI20 DW260 295 650 5600 6600 6900 G1700 2900 3110 3200 7700 GA100(2) 110 400 SPF70 CHR100 RFT100 STB1000 TIC10 BG3002 SFX10 JP200
Ответить с цитированием
  #1156  
Старый 27.10.2019, 14:27
diplomatto diplomatto вне форума  
Новичок
 
Регистрация: 13.04.2019
Адрес: Запорожье
Сообщений: 40
Сказал(а) спасибо: 131
Поблагодарили 58 раз(а) в 17 сообщениях
Да, катушка голая. Более того хорошенько царапанная. И Ваши слова о дополнительной защите хотя бы слоем лака очень актуальны.
Ответить с цитированием
Этот пользователь сказал Спасибо! diplomatto за это сообщение:
michaelgv (27.10.2019)
  #1157  
Старый 27.10.2019, 14:32
michaelgv michaelgv вне форума  
Форумчанин
 
Регистрация: 27.10.2014
Адрес: Гомель
Сообщений: 126
Сказал(а) спасибо: 68
Поблагодарили 335 раз(а) в 71 сообщениях
Цитата:
Сообщение от siealex Посмотреть сообщение
По трещинам в краске.
К сожалению, не показатель. Плат с трещинами хватало, но проводки на транзисторах могут быть целы. Но я тоже могу быть не прав.
Просто по логике - вешать коллекторы транзисторов, да еще и таких, на обмотки в большой индуктивностью, пусть и фиговой добротностью, без защитного диода - это дурость несусветная, долговечность такого решения под большим вопросом. У меня в списке побед есть очень дорогая кофемашина, где подобным способом цепь реле запитали(А катушки луча - то же реле). Выходные каскады дешифраторов позамыкало и опа, новая плата за 550 евро... Переделал все по-своему, прошло уже 4 года, тишина.
Ответить с цитированием
  #1158  
Старый 27.10.2019, 15:04
diplomatto diplomatto вне форума  
Новичок
 
Регистрация: 13.04.2019
Адрес: Запорожье
Сообщений: 40
Сказал(а) спасибо: 131
Поблагодарили 58 раз(а) в 17 сообщениях
Недочеты в конструкции могут объясняться и отсутствием комплектующих и малыми габаритами платы. Я так думаю.

------- ДОБАВЛЕНО ЧЕРЕЗ 24 МИН --------

А кстати, были ли в ссср еще часы с частотой 28800?
Ответить с цитированием
  #1159  
Старый 27.10.2019, 16:03
michaelgv michaelgv вне форума  
Форумчанин
 
Регистрация: 27.10.2014
Адрес: Гомель
Сообщений: 126
Сказал(а) спасибо: 68
Поблагодарили 335 раз(а) в 71 сообщениях
Цитата:
Сообщение от diplomatto Посмотреть сообщение
Недочеты в конструкции могут объясняться и отсутствием комплектующих и малыми габаритами платы. Я так думаю.

------- ДОБАВЛЕНО ЧЕРЕЗ 24 МИН --------

А кстати, были ли в ссср еще часы с частотой 28800?
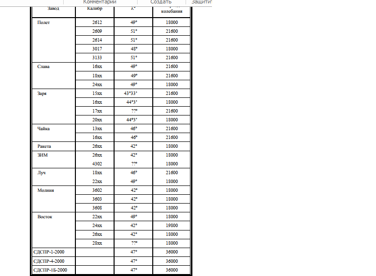
Вроде только секундомерыНажмите на изображение для увеличения
Название: Безымянный.png
Просмотров: 130
Размер:	43.7 Кб
ID:	2749518
Ответить с цитированием
Этот пользователь сказал Спасибо! michaelgv за это сообщение:
diplomatto (27.10.2019)
  #1160  
Старый 27.10.2019, 19:16
diplomatto diplomatto вне форума  
Новичок
 
Регистрация: 13.04.2019
Адрес: Запорожье
Сообщений: 40
Сказал(а) спасибо: 131
Поблагодарили 58 раз(а) в 17 сообщениях
Спасибо, за информацию. Получается, что совчаспром таки достиг разумной достаточности на 21000, а 28000 это уже был "премиум", кстати в очень, на мой взгляд, элегантном решении. Поэтому уникальность 3055 вполне оправдана. Лично для меня даже более чем.
Ответить с цитированием
Ответ
Метки
луч


Быстрый переход


Часовой пояс UTC +3, время: 12:11.