Poljot de Luxe Automatic 1971 год - Страница 208 - Часовой форум Watch.ru
 
Вернуться назад   Часовой форум Watch.ru > Российские часы > Полет
Регистрация | Забыли пароль?

Полет

Форум о часах Полет.
Текущий рейтинг темы — 
Ответ
 
Опции темы
  #2071  
Старый 21.01.2019, 18:29
Аватар для Vilos
Vilos Vilos вне форума  
Форумчанин
 
Регистрация: 08.03.2013
Адрес: Санкт-Петербург
Сообщений: 9,007
Сказал(а) спасибо: 16,556
Поблагодарили 35,119 раз(а) в 6,756 сообщениях
Цитата:
Сообщение от Победа Посмотреть сообщение
столько и было
Да нет, не было. Я недаром указал, что это цена 67 года. Уже в 70-м часы стоили дороже, так как подорожало золото.
И дорожало оно примерно раз в три года. соответственно позолоченные часы тоже дорожали. Не просто так с 75 года все часы стали золотиться 10 микронами.
Ответить с цитированием
Эти 2 пользователей сказали Спасибо! Vilos за это сообщение:
karp2020 (07.03.2019), Авиатор (22.01.2019)
  #2072  
Старый 21.01.2019, 18:56
Аватар для Победа
Победа Победа вне форума  
Форумчанин
 
Регистрация: 25.10.2008
Адрес: Москва
Сообщений: 3,584
Сказал(а) спасибо: 3,390
Поблагодарили 2,930 раз(а) в 1,218 сообщениях
Цитата:
Сообщение от Vilos Посмотреть сообщение
Да нет, не было. Я недаром указал, что это цена 67 года. Уже в 70-м часы стоили дороже, так как подорожало золото.
И дорожало оно примерно раз в три года. соответственно позолоченные часы тоже дорожали. Не просто так с 75 года все часы стали золотиться 10 микронами.
найдется вскоре, уверен, паспорт с ценником, и мы увидим эту "гигантскую" разницу.
Ответить с цитированием
Эти 2 пользователей сказали Спасибо! Победа за это сообщение:
James (10.02.2019), karp2020 (22.01.2019)
  #2073  
Старый 21.01.2019, 21:59
Flanker F Flanker F вне форума  
Форумчанин
 
Регистрация: 03.06.2016
Адрес: Москва
Сообщений: 1,146
Сказал(а) спасибо: 263
Поблагодарили 778 раз(а) в 556 сообщениях
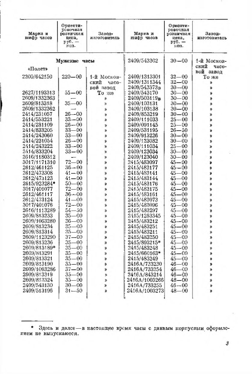
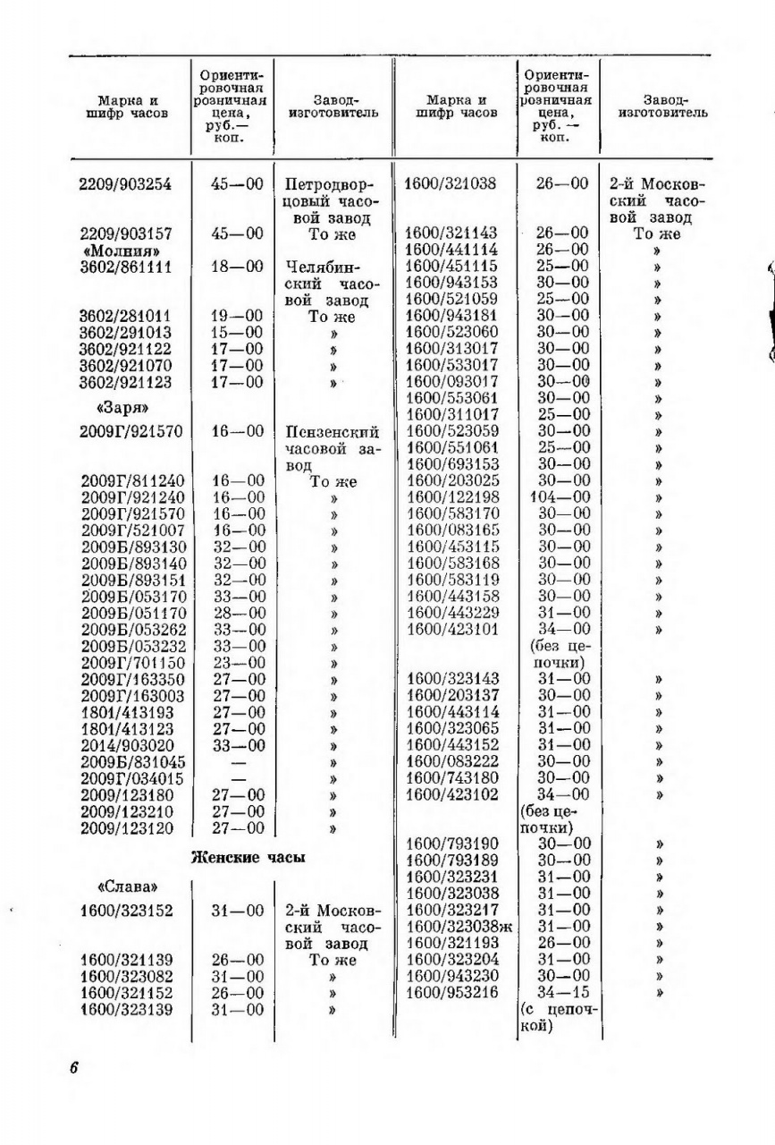
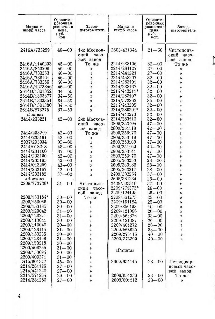
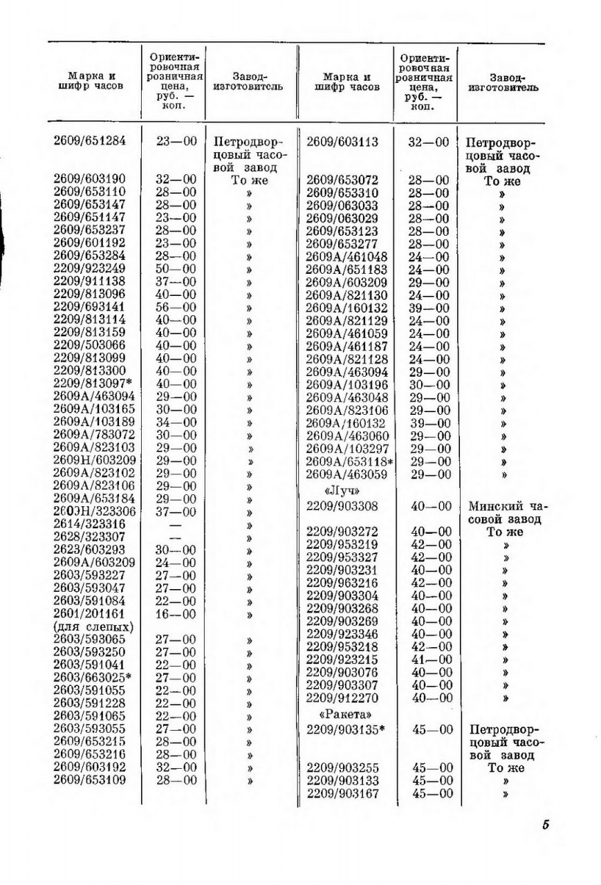
Цены 1972г.
Миниатюры
Нажмите на изображение для увеличения
Название: _MG_7125.jpg
Просмотров: 331
Размер:	467.4 Кб
ID:	2454767   Нажмите на изображение для увеличения
Название: p0001.jpg
Просмотров: 277
Размер:	68.2 Кб
ID:	2454768   Нажмите на изображение для увеличения
Название: p0002.jpg
Просмотров: 401
Размер:	183.1 Кб
ID:	2454769   Нажмите на изображение для увеличения
Название: p0003.jpg
Просмотров: 324
Размер:	374.1 Кб
ID:	2454770   Нажмите на изображение для увеличения
Название: p0004.jpg
Просмотров: 281
Размер:	394.4 Кб
ID:	2454771   Нажмите на изображение для увеличения
Название: p0005.jpg
Просмотров: 292
Размер:	363.0 Кб
ID:	2454772   Нажмите на изображение для увеличения
Название: _MG_7130.jpg
Просмотров: 246
Размер:	249.8 Кб
ID:	2454776  
Ответить с цитированием
Эти 12 пользователей сказали Спасибо! Flanker F за это сообщение:
Alinco (28.01.2019), Alixxx (22.01.2019), arhitektor1 (19.03.2019), atmir33 (21.01.2019), barbrige (22.01.2019), Brick200 (22.01.2019), GRANDX (07.02.2019), James (10.02.2019), karp2020 (22.01.2019), Ozz39 (25.01.2019), Авиатор (22.01.2019), Андрей Бабанин (21.01.2019)
  #2074  
Старый 09.02.2019, 16:34
Rashit1966 Rashit1966 вне форума  
Новичок
 
Регистрация: 14.04.2012
Адрес: Бугульма
Сообщений: 36
Сказал(а) спасибо: 4
Поблагодарили 8 раз(а) в 7 сообщениях
Здравствуйте.
Из кучи де люксов (3 полностью, 5 ждут цифер) восстановил половину.
Загвоздка в оси секундной стрелки. Почти все поломаны как можно восстановить или найти целые.
Доноров 5 штук осталось, и хотелось бы восстановить или найти новые диски календаря.
Циферы новые купил. Корпуса пойдут на восстановление позолоты. Стрелки новые купил.
Ответить с цитированием
  #2075  
Старый 01.03.2019, 09:39
maradon79 maradon79 вне форума  
Новичок
 
Регистрация: 23.04.2015
Адрес: ufa
Сообщений: 38
Сказал(а) спасибо: 3
Поблагодарили 15 раз(а) в 7 сообщениях
как думаете, анкерная вилка в мехе делюкс 29 камней уникальная? или можно подобрать от других механизмов?
пока разбирал удалось безвозвратно смахнуть со стола))
Миниатюры
Нажмите на изображение для увеличения
Название: Полёт-De Luxe.jpg
Просмотров: 322
Размер:	352.3 Кб
ID:	2498671  
Ответить с цитированием
  #2076  
Старый 01.03.2019, 15:05
Аватар для Vilos
Vilos Vilos вне форума  
Форумчанин
 
Регистрация: 08.03.2013
Адрес: Санкт-Петербург
Сообщений: 9,007
Сказал(а) спасибо: 16,556
Поблагодарили 35,119 раз(а) в 6,756 сообщениях
Цитата:
Сообщение от maradon79 Посмотреть сообщение
анкерная вилка в мехе делюкс 29 камней уникальная?
Да, уникальная. Ни от каких других механизмов не подойдёт.
Ответить с цитированием
  #2077  
Старый 01.03.2019, 15:47
Аватар для Андрей Бабанин
Андрей Бабанин Андрей Бабанин вне форума  
Moderator
 
Регистрация: 20.02.2005
Адрес: Москва
Сообщений: 11,451
Сказал(а) спасибо: 4,453
Поблагодарили 34,882 раз(а) в 7,161 сообщениях
Баланс, вилка, вал, заводной триб, кулачковая муфта и еще ряд деталей взаимозаменяемы в калибрах Полет 2209 и Полет 2415
Ответить с цитированием
Эти 5 пользователей сказали Спасибо! Андрей Бабанин за это сообщение:
ABpipes (04.03.2019), atmir33 (01.03.2019), maradon79 (04.03.2019), SanyaUzbekoff (20.06.2019), Авиатор (05.04.2019)
  #2078  
Старый 04.03.2019, 07:25
maradon79 maradon79 вне форума  
Новичок
 
Регистрация: 23.04.2015
Адрес: ufa
Сообщений: 38
Сказал(а) спасибо: 3
Поблагодарили 15 раз(а) в 7 сообщениях
Цитата:
Сообщение от Андрей Бабанин Посмотреть сообщение
Баланс, вилка, вал, заводной триб, кулачковая муфта и еще ряд деталей взаимозаменяемы в калибрах Полет 2209 и Полет 2415
вот на этом спасибо, благо донорских 2209 у меня много
Ответить с цитированием
  #2079  
Старый 18.03.2019, 14:15
Rashit1966 Rashit1966 вне форума  
Новичок
 
Регистрация: 14.04.2012
Адрес: Бугульма
Сообщений: 36
Сказал(а) спасибо: 4
Поблагодарили 8 раз(а) в 7 сообщениях
Цитата:
Сообщение от maradon79 Посмотреть сообщение
вот на этом спасибо, благо донорских 2209 у меня много
Здравствуйте. А ось секундной стрелки для полёт де люкс с какого механизма можно заменить? Или никак и нечем?
Ответить с цитированием
  #2080  
Старый 18.03.2019, 22:49
Semasema Semasema вне форума  
Форумчанин
 
Регистрация: 01.03.2013
Адрес: Россия Москва
Сообщений: 348
Сказал(а) спасибо: 121
Поблагодарили 147 раз(а) в 81 сообщениях
Двести страниц не осилю, мнение экспертов можно, норм комплект?а то какието смутные сомненья гложат
Миниатюры
Нажмите на изображение для увеличения
Название: IMG-20190317-WA0007.jpg
Просмотров: 657
Размер:	27.3 Кб
ID:	2518544   Нажмите на изображение для увеличения
Название: IMG-20190317-WA0009.jpg
Просмотров: 574
Размер:	93.7 Кб
ID:	2518545   Нажмите на изображение для увеличения
Название: IMG-20190317-WA0014.jpg
Просмотров: 474
Размер:	27.4 Кб
ID:	2518546   Нажмите на изображение для увеличения
Название: IMG-20190317-WA0018.jpg
Просмотров: 364
Размер:	116.6 Кб
ID:	2518547   Нажмите на изображение для увеличения
Название: IMG-20190317-WA0012.jpg
Просмотров: 302
Размер:	32.9 Кб
ID:	2518548  
Ответить с цитированием
Этот пользователь сказал Спасибо! Semasema за это сообщение:
Trancediver (17.04.2023)
Ответ
Метки
automatic, de luxe, poljot


Быстрый переход

Похожие темы
Тема Автор Раздел Ответов Последнее сообщение
Poljot de Luxe Automatic Hitmah Что за часы? Сколько стоят эти часы? 12 30.10.2019 02:34


Часовой пояс UTC +3, время: 23:43.